오늘은 전기설계 중 KEC규정에 따른 차단기 용량 선정(설계)방법을 이야기 해 보려고 합니다. 가장 최신 개정된 방식을 찾아보려고 했는데 정확히 정리해 놓은 곳이 없어서 직접 합니다. (답답한 놈이 우물을 파야져. ㅎㅎㅎ)
예전방식인 내선규정 혹은 전기설비설계기준에 따른 내용은 아래 포스팅을 참조해 주시기 바랍니다.
https://mech19.tistory.com/80?category=807449
분기회로 (저압) 차단기 용량 선정
이번 포스팅에서는 분기회로에서 최종 말단 부하를 직접 보호하기 위해 설치되는 저압 분기회로 차단기의 용량을 선정하는 방법을 이야기해 보겠습니다. 차단기 용량선정 과 케이블 사이즈
mech19.tistory.com
분기회로 (저압) 케이블 사이즈 선정
오늘부터 전기회로(간선 및 분기회로)의 차단기와 케이블을 선정하는 과정을 찬찬히 같이 알아보도록 하겠습니다. 그중에서 오늘은 최종 말단부하와 직접 연결되는 저압 분기회로의 케이블 사
mech19.tistory.com
1. 기존 설계기준 (전기설비기술기준의 판단기준)
1) 일반부하용 차단기 용량 선정
먼저 일반부하용 차단기의 차단용량 선정기준에 대해서 알아보도록 하겠습니다. 먼저 기존의 설계기준인 "전기설비기술기준의 판단기준"의 제 38조 (저압전로 중의 과전류차단기의 시설) 3항내용을 확인해 보겠습니다.

위 내용으로 보면 일단 과전류차단기의 정격이 부하정격전류의 1배에서는 작동하지 않아 안전하게 통전되어야 하니 부하정격전류 이상이 되어야 하고, 정격전류의 1.25배나 2배에서 위와 같은 시간 이내에 자동적으로 동작해야 합니다. 이러한 동작시간은 어떻게 알 수 있는가 하면 사용하고자 하는 차단기의 카달로그나 데이터시트를 확인해보면 아래와 같이 차단기 동작 특성곡선을 통해 확인 할 수 있습니다.

위 화면은 LS산전의 차단기 중 Metasol MCCB의 차단기 동작 특성곡선 중에서 한 페이지를 캡쳐한 것입니다. 그 중에서 한가지를 자세히 보도록 하겠습니다.

위 그래프는 정격전류가 3~30A인 차단기의 동작특성곡선입니다. 빨간색 동그라미로 표시한 최소값의 파란색 라인과 최대값의 파란색 라인이 차단기의 정격전류의 배수에 따른 동작시간을 나타내는 라인이라고 생각하시면 됩니다. 가로축은 정격전류의 정격배수를 의미하고 세로축은 동작시간을 의미합니다. 그리고 30A이하의 정격을 가진 차단기이므로 표38-3에 의해 정격전류의 1.25배에서는 60분 이내, 2배에서는 2분 이내에 차단기가 작동하여 과전류를 차단하여야 합니다. 위 그래프에서 1.25배 부분을 빨간색으로 줄을 그어보았을 때 최소값 라인과 만나는 부분이 3분, 최대값 라인과 만나는 부분이 60분이므로 위 차단기는 정격전류의 1.25배가 흘렀을 때 3분에서 60분사이에서 차단기가 동작함을 알 수 있습니다. 2배는 빨간색 동그라미로 표시해 두었으며, 따라 올라가보면 1번이라고 표시된 타원 부분의 시간으로 20초에서 1분30초(?)정도의 사이에서 차단기가 동작함을 알 수 있습니다. 이렇게 차단특성곡선을 통해 적절한 차단기인지 확인하여 사용할 수 있습니다.
그리고 하나가 더 있죠. 전기설비기술기준의 판단기준 제176조(분기회로의 시설) 1항 5호와 7호 입니다.


위 내용에 따라서 총 정리를 해보자면 전동부하를 제외하는 일반부하의 경우 정격전류가 50A를 초과하면 부하의 정격전류의 1.3배이하의 정격전류를 가지는 차단기 (만약 그 값이 차단기의 표준정격이 아닐 때는 그 값에 가장 가까운 상위 정격의 것)를 선정하고 그 차단기는 정격전류의 1.25배에서 120분 이내에 차단동작을 해야하며, 2배에서는 6분에서 24분사이(표38-3 참조)에서 차단동작을 해야합니다.
또한 정격전류가 50A 이하인 일반부하의 경우에는 부하전류의 1배에서 차단기가 동작하지 않아야 하므로 차단기의 정격은 해당일반부하의 정격전류 이상인 것을 사용해야 하며, 차단기는 정격전류의 1.25배에서 60분 이내에 차단동작을 해야하며, 2배에서는 2분에서 4분사이(표38-3 참조)에서 차단동작을 해야합니다.
여기까지가 기존의 전기설비기술기준의 판단기준을 따르는 기존 설계규정이며, 지금부터 KEC(한국전기설비규정)로 변경된 내용을 알아보도록 하겠습니다.
2) 전동부하용 차단기 용량 선정
다음 전동부하용 차단기의 차단용량 선정기준에 대해서 알아보도록 하겠습니다. 먼저 기존의 설계기준인"전기설비기술기준의 판단기준"의 제 176조(분기회로의 시설) 1항 6호의 내용을 확인해 보겠습니다.

위 내용을 정리해 보자면 전동기 부하의 차단기는 아래의 계산법을 따릅니다.

1번. 전동기의 정격전류가 50A이하인 경우
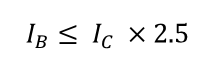
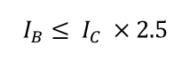
전동기 정격전류에 1.25배 이상의 허용전류를 가지는 케이블을 사용하고, 해당 케이블의 허용전류에 2.5배한 값의 바로 아래 정격을 가지는 차단기로 선정.


2번. 전동기의 정격전류가 50A초과인 경우
전동기 정격전류에 1.1배 이상의 허용전류를 가지는 케이블을 사용하고, 해당 케이블의 허용전류에 2.5배한 값의 바로 아래 정격을 가지는 차단기로 선정.


3번. 위 1번, 2번에서 계산한 케이블의 허용전류가 100A를 초과한 경우
케이블의 허용전류가 과전류 차단기의 표준 정격에 해당할 때는 바로 그 과전류 차단기를 선정하고, 아닐시에는 그 값에 가장 가까운 상위 정격의 것으로 선정.
여기까지가 기존의 전기설비기술기준의 판단기준에 의거한 분기 저압회로의 차단기 선정 방식입니다. 그렇게 어렵지 않습니다. 간단하죠. 그럼 이제 어떻게 바뀌었는지 한번 보겠습니다.
2. 변경 설계기준 (KEC 한국전기설비기준)
자 드디어 최신 기준으로 변경된 내용을 확인해 보겠습니다. KEC의 과전류 차단기 선정에 대한 내용은 KEC(한국전기설비기준) 212.4 문항을 따릅니다.


위 그림까지가 212.4.1문항으로 차단기의 정격 설계 조건에 대한 내용이고 212.4.2문항부터는 과부하 보호장치의 설치 위치에 대한 내용으로 해당 내용은 다른 포스팅에서 알아보도록 하겠습니다. 그럼 위 212.4.1문항에 의거하여 차단기 정격용량 선정 방식을 하나씩 차근차근 알아보도록 하겠습니다.
1) 일반부하용 차단기 용량 선정
먼저 일반부하용 차단기 용량선정부터 알아보도록 하겠습니다. 먼저 상기 식 212.4-1과 212.4-2에 대한 내용을 만족해야 합니다.

위 첫번째식 212.4-1에서 이야기하고자 하는 내용은 차단기의 정격전류는 부하의 정격전류(회로의 설계전류) 이상이어야 하고, 케이블의 허용전류 이하여야 한다는 것이며, 두번째식 212.4-2에서 이야기하고자 하는 것은 차단기의 동작이 케이블이 견디는 내력을 넘기전에 이루어져야 한다는 것입니다.
위 내용을 따라서 설계를 해보도록 하겠습니다. 먼저 식 212.4-1에 따라 계산을 시작해 보겠습니다.

위와 같은 3상 일반부하에 차단기가 시설된 회로가 있다고 가정을 해보겠습니다. 여기서 부하의 정격전류(회로의 설계전류)가 44A라고 가정을 해보겠습니다. 그렇다면 차단기의 정격전류(보호장치의 정격전류)는 44A의 바로 위 정격인 50A를 사용해야 합니다. 그리고 케이블의 경우 (기중 트레이 포설, 3심 1선식 기준) 허용전류 54A의 6sq짜리를 사용해야 합니다. (아래 표 참조)

위 표는 LS전선의 LV케이블의 허용전류 표 입니다. 그럼 선정이 끝났으니 식 212.4-1에 따라 나열해 보면 아래와 같습니다.

적절하게 선정된 것을 알 수 있습니다. 그렇지만 여기서 끝이 아닙니다. 한가지가 더 남아있죠? 바로 식 212.4-2입니다. 그럼 위에서 선정한 내용에 식 212.4-2를 추가로 적용해 보도록 하겠습니다.
먼저 케이블의 허용전류인 54A에 1.45를 곱한값은 78A입니다. 그리고 보호장치가 규약시간 이내에 유효하게 동작하는 것을 보장하는 전류는 KEC(한국전기설비기준)의 표 212.3-2(산업용 배선차단기) 혹은 표 212.3-4(주택용 배선차단기)에 의거하여 계산하면 됩니다. 여기서는 산업용을 기준으로 하겠습니다.


그렇다면 차단기의 정격전류가 50A이므로 여기에 1.3배를 하면 65A가 됩니다. 이렇게 계산된 내용을 식 212.4-2로 비교해 보면 아래와 같습니다.

이렇게 하여 일반부하의 정격전류가 44A인 경우 차단기의 정격은 50A가 적정하다는 것을 확인하였습니다. 그렇다면 부하가 일반부하가 아닌 전동부하인 경우에는 어떨까요? 지금부터 알아보도록 하겠습니다.
2) 전동부하용 차단기 용량 선정
자 드디어 마지막인 전동부하용 차단기 용량 선정입니다. 전동부하용 차단기 또한 차단기이므로 일단은 위에서 알아보았던 일반부하용 차단기 용량 선정방식을 포함하며, 아래의 212.6.3을 추가로 포함합니다.

212.6.3에서 추가로 확인 할 수 있는 내용은 "기동방식에 따른 기동돌입전류를 고려하라" 라는 내용 뿐입니다. 그럼 기동돌입전류를 어떻게 고려해야 하는지 한번 알아보겠습니다.
먼저 전동기의 기동돌입전류의 크기와 기동시간을 알아야 합니다. 부하는 아까 위에서 사용했던 44A의 일반부하를 전동부하로 가정하겠습니다. 그리고 기동돌입전류와 기동시간에 대한 내용은 전동기 제작업체 측에서 제공하는 데이터시트에 나와있습니다. 보통 기동돌입전류의 크기는 정격전류의 6~8배사이이며, 기동시간은 4~10초 사이입니다. 저는 기동돌입전류의 크기를 7배라고 가정하고, 기동시간은 4초라고 가정해 보도록 하겠습니다. 기동시간이 4초이니 차단기의 작동은 최소한 4초 이후 즉 5초나 6초정도에 작동을 해야겠죠? 여유있게 6초라고 가정하겠습니다. 그럼 일단 아래 차단기 동작특성 곡선을 한번 보겠습니다.

위 그래프는 LS산전의 MCCB 동작특성곡선입니다. 아까 위에서 우리가 기동시간이 6초라고 가정했었죠? 전동기가 기동하는 동안 차단기가 동작하지 않으려면 전동기의 기동돌입전류가 차단기의 정격전류의 5배이하가 되어야 함을 알 수 있습니다. (빨간색 라인 확인) 그럼 아까 위에서 정격전류가 44A라고 했고, 기동돌입전류를 7배로 했으니 기동돌입전류는 308A정도로 계산이 됩니다. 이 수치를 다시 5로 나누면 61.6A가 되고 그렇다면 차단기의 정격전류가 최소61.6A이상이 되어야 하겠지요?

LS산전의 모터보호용 MCCB를 보면 정격용량이 60A, 75A, 90A 순으로 올라가기 때문에 결국 차단기의 정격전류는 75A짜리를 선정해야 합니다. 이해하셨나요? 그럼 매번 이런식으로 계산을 해야하는지 의문이 드실겁니다. 당연히 아닙니다. 이러한 내용을 수식으로 정리해 두었습니다.

위 식으로 계산하면 61.6A가 나오고 그 바로 윗 정격인 75A를 바로 선정하면 됩니다. 오늘은 이렇게 차단기 선정에 대해 전기설비기술기준의 판단기준을 이용한 예전방법부터 해서 KEC규격을 이용한 새로운 방법까지 쭈욱~ 훑어보았습니다. KEC규격이 새로이 자리잡음으로써 헷갈리는 부분이 많겠지만 오늘처럼 하나씩 차근차근 알아가 보도록 하겠습니다. 오늘은 여기까지 입니다. 감사합니다.
제 블로그를 방문해 주셔서 감사합니다.
도움이 되셨다면 공감(좋아요) 부탁드리고,
댓글은 다른분들께도 좋은 정보일 수 있으니
공개로 부탁드립니다.
여러분의 작은 정성이 좋은 포스팅을 생산하는
힘이 된답니다. :)
감사합니다.
'전기 > 전기 설계' 카테고리의 다른 글
| KEC 규정에 따른 케이블 사이즈 선정(설계) (8) | 2022.11.07 |
|---|---|
| 접지설계 접지용량계산 (접지도체 보호도체 굵기 산정) (0) | 2022.08.24 |
| 전기 설계 8 - Electric Heat Tracing ( EHT 설계 ) (0) | 2022.08.10 |
| 전기 설계 7 - 전기 판넬 설계 #4 (Three Line Diagram, Schematic Diagram) (0) | 2022.08.08 |
| 전기 설계 6 - 전기 판넬 설계 #3 (OutLine Diagram, Schematic Diagram) (0) | 2022.08.05 |
댓글