오늘은 고장계산 3번째 시간입니다.
직접 예시를 들어 %Z법(퍼센트임피던스법)을 이용한
변압기의 전압, 전류, 임피던스의 상관관계에 대하여 알아보겠습니다.
%Z(퍼센트임피던스)를 이용하여 고장계산을 수행함에 있어
전압과 전류 그리고 임피던스의 상관관계가
정확하게 개념정리가 되어 있는 것은 매우매우 중요하기 때문에
오늘 포스팅은 굉장히 중요합니다.
일단 먼저 오늘 처음 오신 분들은 이전 포스팅을 참조하여 %Z법(퍼센트임피던스법)에 대하여
이론적인 내용을 확인하시는 것을 추천 드립니다.
차단기 용량 선정 - 고장계산 #1
오늘은 차단기의 용량 선정시에 중요한 포인트 중 하나인 정격차단용량 (정격차단전류)를 선정해 보려고 합니다. 그럼 정격차단용량 (정격차단전류)을 선정할때 필요한 고장전류 계산법에 대하
mech19.tistory.com
차단기 용량 선정 - 고장계산 #2
오늘은 차단기를 선정하는 과정에서 아주 중요한 정격차단용량(정격차단전류)을 계산해 보려고 합니다. 예전에 이 내용에 대한 이론을 포스팅한 적이 있습니다. (아래 포스팅 참조) https://mech19.t
mech19.tistory.com
자 이제 본격적으로 오늘 내용을 시작해 보겠습니다.
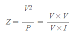
먼저 전력과 전압, 전류의 관계는 P = V*I 인것을 다들 잘 알고 계실겁니다.
물론 3상인 경우에는 P=√3×V × I
혹은 P=3 × E × I 가 될 것 입니다.
여기서 V는 선간전압, E는 상전압 입니다. (물론 I는 정격전류)
여튼 P = V * I에 옴의 법칙 V= I * R을 대입하면

이 되는 것을 알 수 있고,
또 이것은

와 같은 의미라는 것을
우리는 이미 알고 있습니다.
이것을 이용하여 최종적으로 우리는

를 유도해 낼 수 있습니다.
이때 단위는 P는 MVA, V는 kV임을 명심해야 합니다.
이제 위 내용을 토대로 실제 변압기 모델에 적용해 보겠습니다.
변압기 명판에는 P(용량), V(정격전압), %Z(퍼센트임피던스)에 대한 내용이
명시되어 있을 것입니다.
물론 정격전압은 1차측, 2차측 모두 나와있어야 합니다.
혹시 %Z에 대한 정보가 없다면, 데이터시트(Data Sheet)를 참조하던가 제조사에 요청해야 합니다.

위와 같은 변압기가 있다고 가정해 보겠습니다.
여기서 기준 용량은 10MVA로 1차측에서 보든 2차측에서 보든 고정이기 때문에
1차측과 2차측의 정격전압에 따라
각각의 정격전류(기준전류)와 임피던스(기준임피던스)는 바뀌게 됩니다.
또한 기준임피던스가 달라짐에 따라 %Z(퍼센트임피던스)에 의해 실제 리얼 임피던스값도 달라집니다.
(굉장히 중요한 내용이니 항상 기억해야 합니다.)
그럼 계산해 보겠습니다.

이기 때문에

가 됩니다.
(찬찬히 유도해 보세요. 복잡해 보여도 쉬운 내용입니다. )
그리고 기준 임피던스는

를 이용하여 구해보면

이 됩니다.
(여기까지 잘 따라오셨죠???)
그리고 이렇게 구한 각각의 1차측, 2차측 기준 임피던스를 기준으로
%Z를 이용하여 리얼 임피던스를 구하면

가 됩니다.
이 내용을 잘 기억해야 하는게,
변압기의 용량은 1차측이든 2차측이든 정해져 있고,
1차측, 2차측의 정격전압(기준이 되는 전압)이 다르기 때문에
당연히 이에 따라 정격전류와 실제 임피던스값이 바뀌는 것입니다.
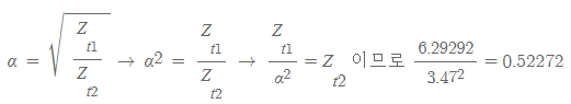
그럼 여기서 구한 임피던스를 권수비 환산을 통하여 검산해 보겠습니다.
권수비 a = 22.9/6.6 = 3.47 입니다.

가 됩니다.
소수점 반올림등으로 값이 근사하게 차이가 나는 것은 넘어가도록 하겠습니다.
그럼 마지막으로 이때까지 나온 파라미터들로 단락전류를 계산해 보겠습니다.
2차측 기준으로 계산해 보면 식은 아래와 같습니다.

여기서 E는 2차측 상전압이고, Ztr은 Zt2의 값임을 기억해야 합니다.
상전압은 선간전압보다 루트3배만큼 작기 때문에

가 되고

이므로

입니다.
%Z법을 이용하여 검산해보면
Is = 100/%Z * In 이므로 (In은 2차측 정격전류값인거 알고 계시죠??)
Is = 100/12 * 874.77 = 7,289.75A 로 맞다는 것을 알 수 있습니다.
위에서도 얘기했지만 소수점 반올림 등으로 값이 근사하게 차이가 나는 것은 넘어가도록 하겠습니다.
이렇게 %Z(퍼센트임피던스)를 이용할 때 전압, 전류, 전력, 임피던스의 상관관계를
잘 알고있어야 계산을 능수능란하게 할 수 있습니다.
어려워 보이지만 몇번만 읽어보시면 분명히 금방 이해되실 겁니다.
직접 수치를 바꿔가며 연습해 보는 것을 추천드립니다.
연습만큼 본인이 완벽해지는 쉬운 방법은 없습니다.
직접 해보셔야 기억에 남아요.
다음 포스팅에서 마지막으로 실제 회로를 예시로 들어가며 계산해 보겠습니다.
아래 포스팅을 참조해 주십시오.
차단기 용량 선정 - 고장계산 #4
고장계산 마지막 4번째 시간입니다. 마지막 시간이므로 직접 예시회로를 통해 고장계산을 수행해 보며 이전 내용들에 대해 더 심도있게 확인하는 시간을 갖도록 하겠습니다. 먼저 이전 포스팅
mech19.tistory.com
그리고 제 블로그를 방문해 주셔서 감사합니다.
항상 함께 성장해 나갈 수 있도록 함께 하겠습니다.
감사합니다.
'전기 > 전기 설계' 카테고리의 다른 글
| 전기 설계 - DCL (Document List) (1) | 2022.06.27 |
|---|---|
| 차단기 용량 선정 - 고장계산 #4 (1) | 2021.12.15 |
| 차단기 용량 선정 - 고장계산 #2 (0) | 2021.12.15 |
| 차단기 용량 선정 - 고장계산 #1 (1) | 2021.03.31 |
| 간선 차단기 용량 / 케이블 사이즈 (전선 굵기) 선정 #2 (3) | 2021.03.25 |
댓글